sin(π/5)の値を求める・その2
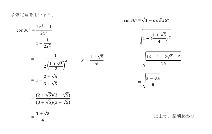
先日の問題(2025年11月7日の記事、復元算額3法眼寺)で、三角関数の値を求める証明ができていませんでした。前回は、代数的に求めましたが、今回は幾何的に求める方法です。黄金数とか黄金比とか出てくる興味深い問題ですね。


はい、こちらの幾何学的な解き方は面白いです。
MANABE INTELLECTUAL PROPERTY OFFICE
先日の問題(2025年11月7日の記事、復元算額3法眼寺)で、三角関数の値を求める証明ができていませんでした。前回は、代数的に求めましたが、今回は幾何的に求める方法です。黄金数とか黄金比とか出てくる興味深い問題ですね。


はい、こちらの幾何学的な解き方は面白いです。