今年も入試の季節!!大学入学共通テスト数学Ⅱ,B,C ⑦
最終問題(第7問)は、愛(注:誤記ではない)(虚数のi) のある複素数の問題です。
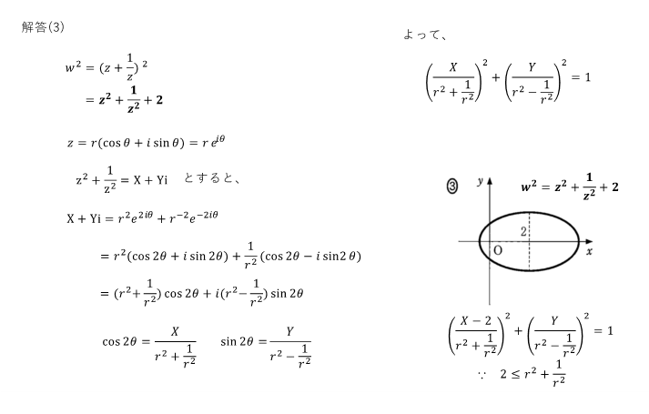
この種の問題も慣れですね。小問及び解答の選択肢を見ながら解けば割と簡単に解けますね。






ハイ、これで全問完答です。お疲れさまでした。
AIにお願いした統計の問題(第5問)を除いて、比較的わかりやすい問題群でした。但し設問の数が多いので、受験生は時間配分がです大変ですね。余裕をもって一問づつ解けばできるものも、決められた時間内に完答するのは辛いです。受験生ガンバレ!!
AI(Chat-GPT5.2)はおそらく全問正解=満点を取りそうですね。コンピュータが難なく解ける問題を学生がみんなでこぞって競いあっても意味のない時代が来るやも。